Cationic Cascade Strategy for the Synthesis of Dihydrobenzofuran and Isochromane Scaffolds
Patrycia K. Zybura, Kyla J. Grant, Alison J. Frontier, Org. Lett. 2026, 28, 658 – 662
Patrycia K. Zybura, Kyla J. Grant, Alison J. Frontier, Org. Lett. 2026, 28, 658 – 662

Alkynyl Halo-Prins Cyclizations for the Synthesis of Bicyclo[4.3.1] and [3.3.1] Oxygen-Bridged Heterocycles
Yusuf A. Ibrahim, Alison J. Frontier, J. Org. Chem. 2025, 90, 13131 – 13144
Yusuf A. Ibrahim, Alison J. Frontier, J. Org. Chem. 2025, 90, 13131 – 13144

Quaternary Carbon as a Locus for Skeletal Disconnection. Total Synthesis of (±)-Tubingensin A Featuring Assembly of the Backbone Stereotriad Using a Halo-Prins/ Halo-Nazarov Cascade
Aleksa Milosavljevic, Georgios Alachouzos, Alison J. Frontier, J. Am. Chem. Soc. 2025, 127, 23120 – 23127
Aleksa Milosavljevic, Georgios Alachouzos, Alison J. Frontier, J. Am. Chem. Soc. 2025, 127, 23120 – 23127

The Not Voodoo website after twenty dynamic years
Alison J. Frontier, Nat. Rev. Chem. 2024, 8, 713 – 714
Alison J. Frontier, Nat. Rev. Chem. 2024, 8, 713 – 714

Hydroxychloroquine and a low antiresorptive activity bisphosphonate conjugate prevent and reverse ovariectomy-induced bone loss in mice through dual antiresorptive and anabolic effects
Zhenqiang Yao, Akram Ayoub, Venkatesan Srinivasan, Jun Wu, Churou Tang, Rong Duan, Aleksa Milosavljevic, Lianping Xing, Frank H. Ebetino, Alison J. Frontier, Brendan F. Boyce, Bone Res. 2024, 12, 52
Zhenqiang Yao, Akram Ayoub, Venkatesan Srinivasan, Jun Wu, Churou Tang, Rong Duan, Aleksa Milosavljevic, Lianping Xing, Frank H. Ebetino, Alison J. Frontier, Brendan F. Boyce, Bone Res. 2024, 12, 52
Exploring Interrupted Nazarov Cyclizations Using Tethered Sulfonamide Nucleophiles: Insights into Capture Pathways
Aleksa Milosavljevic, Jackson J. Hernandez, Patrycia K. Zybura, Alison J. Frontier, Eur. J. Org. Chem. 2024, 27, e202400444
Aleksa Milosavljevic, Jackson J. Hernandez, Patrycia K. Zybura, Alison J. Frontier, Eur. J. Org. Chem. 2024, 27, e202400444

Alkynyl Halo- Aza-Prins Annulative Couplings
Jackson J. Hernandez, Alexandra P. Lawrie, Alison J. Frontier, J. Org. Chem. 2023, 88, 16065 – 16075
Jackson J. Hernandez, Alexandra P. Lawrie, Alison J. Frontier, J. Org. Chem. 2023, 88, 16065 – 16075

Nitrogen-interrupted Halo-Prins/ Halo-Nazarov Fragment Coupling Cascade for the Synthesis of Indolines
Aleksa Milosavljevic, Connor Holt, Alison J. Frontier, Chem. Sci. 2023, 14, 5431 – 5437
Aleksa Milosavljevic, Connor Holt, Alison J. Frontier, Chem. Sci. 2023, 14, 5431 – 5437

Alkynyl Prins Carbocyclization Cascades for the Synthesis of Linear-Fused Heterocyclic Ring Systems
Jackson J. Hernandez, Alison J. Frontier, Chem. Sci. 2022, 13, 13836 – 13842
Jackson J. Hernandez, Alison J. Frontier, Chem. Sci. 2022, 13, 13836 – 13842

Approach to High-Nitrogen Materials with Dual-Use Properties via Tetraaza-Nazarov Cyclization
Michael Thoenen , Matthew Gettings , Connor Holt , Alison J. Frontier , Patrick A. Caruana , Matthias Zeller , Edward F. C. Byrd , Davin G. Piercey, Inorg. Chem. 2022, 61, 18095 – 18101

Divergent Reactivity of Triaryldivinyl Ketones: Competing 4π and Putative 6π Electrocyclization Pathways
Anton V. Yadykov, Artem E. Eremchenko, Aleksa Milosavljevic, Alison J. Frontier, Valerii Z. Shirinian, J. Org. Chem. 2022, 87, 13643 − 13652
Anton V. Yadykov, Artem E. Eremchenko, Aleksa Milosavljevic, Alison J. Frontier, Valerii Z. Shirinian, J. Org. Chem. 2022, 87, 13643 − 13652

Merging Strategy, Improvisation, and Conversation to Solve Problems in Target Synthesis
Alison J. Frontier, Paul P. Sinclair, Acc. Chem. Res. 2021, 54, 1817 – 1829
Alison J. Frontier, Paul P. Sinclair, Acc. Chem. Res. 2021, 54, 1817 – 1829

Synthesis of Spirocyclic Isoindolones Using an Alkynyl aza-Prins/Oxidative halo-Nazarov Cyclization Sequence
Jackson J. Hernandez, Alison J. Frontier, Org. Lett. 2021, 23, 1782 – 1786
Jackson J. Hernandez, Alison J. Frontier, Org. Lett. 2021, 23, 1782 – 1786

New Twists in Nazarov Cyclization Chemistry
Alison J. Frontier, Jackson J. Hernandez, Acc. Chem. Res. 2020, 53, 1822 - 1832
Alison J. Frontier, Jackson J. Hernandez, Acc. Chem. Res. 2020, 53, 1822 - 1832

One-Pot Double-Annulation Strategy for the Synthesis of Unusual Fused Bis-Heterocycles
Shukree Abdul-Rashed, Georgios Alachouzos, William W. Brennessel, Alison J. Frontier; Org. Lett. 2020, 22, 4350–4354
Shukree Abdul-Rashed, Georgios Alachouzos, William W. Brennessel, Alison J. Frontier; Org. Lett. 2020, 22, 4350–4354

Stereochemical Relay through a Cationic Intermediate: Helical Preorganization Dictates Direction of Conrotation in the halo-Nazarov Cyclization
Georgios Alachouzos, Connor Holt, Alison J. Frontier; Org. Lett. 2020, 22, 4010–4015
Georgios Alachouzos, Connor Holt, Alison J. Frontier; Org. Lett. 2020, 22, 4010–4015

Alkynyl Prins and Alkynyl Aza-Prins Annulations: Scope and Synthetic Applications
Shukree Abdul-Rashed, Connor Holt, Alison J. Frontier; Synthesis 2020, 52, 1991-2007
Shukree Abdul-Rashed, Connor Holt, Alison J. Frontier; Synthesis 2020, 52, 1991-2007

Tuning Mechanism through Buffer Dependence of Hydrogen Evolution Catalyzed by a Cobalt Mini-enzyme
Jennifer M. Le, Georgios Alachouzos, Marco Chino, Alison J. Frontier, Angela Lombardi, Kara L. Bren; Biochemistry 2020, 59, 1289–1297
Jennifer M. Le, Georgios Alachouzos, Marco Chino, Alison J. Frontier, Angela Lombardi, Kara L. Bren; Biochemistry 2020, 59, 1289–1297

Leveraging the Halo-Nazarov Cyclization for the Chemodivergent Assembly of Functionalized Haloindenes and Indanones
Connor Holt, Georgios Alachouzos, Alison J. Frontier; J. Am. Chem. Soc. 2019, 141, 5461-5469
Connor Holt, Georgios Alachouzos, Alison J. Frontier; J. Am. Chem. Soc. 2019, 141, 5461-5469

Cationic Cascade for Building Complex Polycyclic Molecules from Simple Precursors: Diastereoselective Installation of Three Contiguous Stereogenic Centers in a One-Pot Process
Georgios Alachouzos, Alison J. Frontier; J. Am. Chem. Soc. 2019, 141, 118-122
Georgios Alachouzos, Alison J. Frontier; J. Am. Chem. Soc. 2019, 141, 118-122

Noncanonical Cation−π Cyclizations of Alkylidene β-Ketoesters: Synthesis of Spiro-fused and Bridged Bicyclic RingSystems
Dylan E. Parsons, Alison J. Frontier; Org. Lett. 2019, 21, 2008–2012
Dylan E. Parsons, Alison J. Frontier; Org. Lett. 2019, 21, 2008–2012

Toward the Asymmetric Synthesis of Tetrapetalone A: Preparation of an Enantioenriched Indane Intermediate and Strategy for Endgame Glycosylation Strategy
Peter N. Carlsen, Eric G. Stoutenburg, Alison J. Frontier; Synthesis, 2018,50, 1238-1245
Peter N. Carlsen, Eric G. Stoutenburg, Alison J. Frontier; Synthesis, 2018,50, 1238-1245

Diastereoselective Construction of Densely Functionalized 1-Halocyclopentenes Using an Alkynyl Halo-Prins/Halo-Nazarov Cyclization Strategy
Georgios Alachouzos and Alison J. Frontier; Angew.Chem.Int.Ed.2017,56, 15030–15034
Georgios Alachouzos and Alison J. Frontier; Angew.Chem.Int.Ed.2017,56, 15030–15034
Nazarov Cyclization/Internal Redox Cyclization Sequence for the Synthesis of N-Heterocyclic Bridged Ring Systems
Huang, Yu-Wen, Frontier, Alison J. Org. Lett. 2016, 18, 4896-4899.
Huang, Yu-Wen, Frontier, Alison J. Org. Lett. 2016, 18, 4896-4899.
Studies toward the AB ring system of the tetrapetalone natural products
Carlsen, P. N.; Jiang, C.; Herrick, I. R.; Frontier, A. J. Tetrahedron,2015, 71, 5886–5896 (Invited paper for special issue honoring Barry Trost)
Carlsen, P. N.; Jiang, C.; Herrick, I. R.; Frontier, A. J. Tetrahedron,2015, 71, 5886–5896 (Invited paper for special issue honoring Barry Trost)
Enantioselective Nazarov cyclization catalyzed by a Cinchona alkaloid derivative
Huang, Yu-Wen; Frontier, A. J. Tetrahedron Lett.2015, 56, 3523-3526 (Invited paper for special issue honoring Harry Wasserman)
Huang, Yu-Wen; Frontier, A. J. Tetrahedron Lett.2015, 56, 3523-3526 (Invited paper for special issue honoring Harry Wasserman)
No Acid Required: 4p and 6p Electrocyclization Reactions of Dienyl Diketones for the Synthesis of Cyclopentenones and 2H-Pyrans
Jacob, Steven; Brooks, Joshua L.; Frontier, A. J. J. Org. Chem.2014, 79, 10296–10302.
Jacob, Steven; Brooks, Joshua L.; Frontier, A. J. J. Org. Chem.2014, 79, 10296–10302.
Synthesis of (±)-Tetrapetalone A-Me Aglycon
Carlsen, P. N.; Mann, T. J.; Hoveyda, A. H.; Frontier, A. J. Angew Chem. Int. Ed. 2014, 53, 9334-9338
Carlsen, P. N.; Mann, T. J.; Hoveyda, A. H.; Frontier, A. J. Angew Chem. Int. Ed. 2014, 53, 9334-9338
Flavaglines Target Primitive Leukemia Cells and Enhance Anti-Leukemia Drug Activity
Callahan, K.; Minhajuddin, M.; Corbett, C.; Lagadinou, E.; Rossi, R.; Balys, M.; Pan, L.; Jacob, S.; Frontier, A.; Grever, M.; Lucas, D.; Kinghorn, A. D.; Liesveld, J. L.; Becker, M.; Jordan, C. Leukemia, 2014, 28, 1960–1968
Callahan, K.; Minhajuddin, M.; Corbett, C.; Lagadinou, E.; Rossi, R.; Balys, M.; Pan, L.; Jacob, S.; Frontier, A.; Grever, M.; Lucas, D.; Kinghorn, A. D.; Liesveld, J. L.; Becker, M.; Jordan, C. Leukemia, 2014, 28, 1960–1968
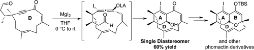
The Phomactin Natural Products: From Isolation to Total Synthesis
Ciesielski, J.; Frontier, A. J. J. Org. Prep. Proc. Int., 2014, 46, 214-251
Ciesielski, J.; Frontier, A. J. J. Org. Prep. Proc. Int., 2014, 46, 214-251
Preparation of 5-Hydroxycyclopentenones via Conjugate Addition-Initiated Nazarov Cyclization
Brooks, J. L.; Huang, Y.-W.; Frontier, A. J. Org. Syn., 2014, 91, 93.
Brooks, J. L.; Huang, Y.-W.; Frontier, A. J. Org. Syn., 2014, 91, 93.
Cationic Cyclizations and Rearrangements Promoted by a Heterogeneous Gold Catalyst
Vaidya, T.; Cheng, R.; Carlsen, P. N.; Frontier, A. J.; Eisenberg, R. Org. Lett., 2014, 16 (3), 800–803
Vaidya, T.; Cheng, R.; Carlsen, P. N.; Frontier, A. J.; Eisenberg, R. Org. Lett., 2014, 16 (3), 800–803
Gold(I)-Catalyzed Iodination of Arenes
Lebœuf, D.; Ciesielski, J.; Frontier, A. J. Synlett, 2014, 25, 399-402.
Lebœuf, D.; Ciesielski, J.; Frontier, A. J. Synlett, 2014, 25, 399-402.
Gold(III) Chloride-Catalyzed 6-endo-trig Oxa-Michael Addition Reactions for Diastereoselective Synthesis of Fused Tetrahydropyranones
Ciesielski, J.; Lebœuf, D.; Stern, H. A.; Frontier, A. J. Adv. Synth. Catal., 2013, 355, 2077-2082.
Ciesielski, J.; Lebœuf, D.; Stern, H. A.; Frontier, A. J. Adv. Synth. Catal., 2013, 355, 2077-2082.
Cascade Cyclizations of Acyclic and Macrocyclic Alkynones: Studies toward the Synthesis of Phomactin A
Ciesielski, J.; Gandon, V.; Frontier, A. J. J. Org. Chem., 2013, 78, 9541-9552. (Featured Article)
Ciesielski, J.; Gandon, V.; Frontier, A. J. J. Org. Chem., 2013, 78, 9541-9552. (Featured Article)
Beyond the Divinyl Ketone: Innovations in the Generation and Nazarov Cyclization of Pentadienyl Cation Intermediates
Spencer, W. T. III; Vaidya, T.; Frontier, A. J. Eur. J. Org. Chem., 2013, 18, 3621-3633. Invited Microreview. Top 10 most accessed articles for May 2013
Spencer, W. T. III; Vaidya, T.; Frontier, A. J. Eur. J. Org. Chem., 2013, 18, 3621-3633. Invited Microreview. Top 10 most accessed articles for May 2013
Efficient Nazarov Cyclization/Wagner-Meerwein Rearrangement Terminated by a Cu(II)-Promoted Oxidation: Synthesis of 4-Alkylidene Cyclopentenones
Lebœuf, D.; Theiste, E.; Gandon, V.; Daifuku, S. L.; Neidig, M. L.; Frontier, A. J. Chem. Eur. J., 2013, 19, 4842–4848.
Lebœuf, D.; Theiste, E.; Gandon, V.; Daifuku, S. L.; Neidig, M. L.; Frontier, A. J. Chem. Eur. J., 2013, 19, 4842–4848.
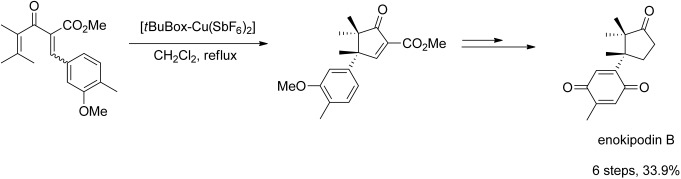
Reagent Control of 1,2-Wagner-Meerwein Shift Chemoselectivity following Nazarov Cyclization: Application to the Total Synthesis of Enokipodin B
Lebœuf, D.; Wright, C. M.; Frontier, A. J. Chem. Eur. J., 2013, 19, 4835–4841.
Lebœuf, D.; Wright, C. M.; Frontier, A. J. Chem. Eur. J., 2013, 19, 4835–4841.
Cyclization Cascades Initiated by 1,6-Conjugate Addition
Brooks, J. L.; Frontier, A. J. J. Am. Chem. Soc., 2012, 134, 16551-16553.
Brooks, J. L.; Frontier, A. J. J. Am. Chem. Soc., 2012, 134, 16551-16553.
A Cycloaromatization Protocol for Synthesis of Polysubstituted Phenol Derivatives: Method Development and Mechanistic Studies
Spencer, W. T. III; Frontier, A. J. J. Org. Chem., 2012, 77, 7730–7736.
Spencer, W. T. III; Frontier, A. J. J. Org. Chem., 2012, 77, 7730–7736.
A Macrocyclic β-Iodoallenolate Intermediate is Key: Synthesis of the ABD Core of Phomactin A
Ciesielski, J.; Cariou, K.; Frontier, A. J. Org. Lett., 2012, 14, 4082-4085.
Ciesielski, J.; Cariou, K.; Frontier, A. J. Org. Lett., 2012, 14, 4082-4085.
Experimental and Theoretical Studies on the Nazarov Cyclization/Wagner-Meerwein Rearrangement Sequence
Lebœuf, D.; Ciesielski, J.; Gandon, V.; Frontier, A. J. J. Am. Chem. Soc., 2012, 134, 6296–6308.
Lebœuf, D.; Ciesielski, J.; Gandon, V.; Frontier, A. J. J. Am. Chem. Soc., 2012, 134, 6296–6308.
Total Synthesis of (±)-Rocaglamide via Oxidation-Initiated Nazarov Cyclization
Malona, J. A.; Cariou, K.; Spencer, W. T. III, Frontier, A. J. J. Org. Chem., 2012, 77, 1891–1908.
Malona, J. A.; Cariou, K.; Spencer, W. T. III, Frontier, A. J. J. Org. Chem., 2012, 77, 1891–1908.
Using Nazarov Electrocyclization to Stage Chemoselective [1,2]-Migrations: Stereoselective Synthesis of Functionalized Cyclopentenones
Lebœuf, D.; Huang, J.; Gandon, V.; Frontier, A. J. Angew. Chem., Int. Ed., 2011, 50, 10981-10985. Conjugate Addition-Initiated Nazarov Cyclization
Brooks, J. L.; Caruana, P. A.; Frontier, A. J. J. Am. Chem. Soc., 2011, 133, 12454-12457.
Lebœuf, D.; Huang, J.; Gandon, V.; Frontier, A. J. Angew. Chem., Int. Ed., 2011, 50, 10981-10985. Conjugate Addition-Initiated Nazarov Cyclization
Brooks, J. L.; Caruana, P. A.; Frontier, A. J. J. Am. Chem. Soc., 2011, 133, 12454-12457.
Catalytic Nazarov Cyclization: The State of the Art
Vaidya, T.; Frontier, A. J.; Eisenberg, R. ChemCatChem, 2011, 3, 1531-1548.
Vaidya, T.; Frontier, A. J.; Eisenberg, R. ChemCatChem, 2011, 3, 1531-1548.
Understanding the fate of the oxyallyl cation following Nazarov electrocyclization: sequential Wagner-Meerwein migrations and the synthesis of spirocyclic cyclopentenones
Huang, J.; Lebœuf, D.; Frontier, A. J. J. Am. Chem. Soc., 2011, 133, 6307-6317.
Huang, J.; Lebœuf, D.; Frontier, A. J. J. Am. Chem. Soc., 2011, 133, 6307-6317.
Divergent Reaction Pathways of a Cationic Intermediate: Rearrangement and Cyclization of 2-Substituted Furyl and Benzofuryl Enones Catalyzed by Iridium(III)
Vaidya, T.; Manbeck, G.; Chen, S.; Frontier, A. J.; Eisenberg, R. J. Am. Chem. Soc., 2011, 113, 3300-3303.
Vaidya, T.; Manbeck, G.; Chen, S.; Frontier, A. J.; Eisenberg, R. J. Am. Chem. Soc., 2011, 113, 3300-3303.
Oxidation-Initiated Nazarov Cyclization of Vinyl Alkoxyallenes
Spencer, W. T. III; Levin, M. D.; Frontier, A. J. Org. Lett., 2011, 13, 414-417
Spencer, W. T. III; Levin, M. D.; Frontier, A. J. Org. Lett., 2011, 13, 414-417
Dicationic Palladium(II) Complexes as Active Lewis Acid Catalysts for Polarized Nazarov Cyclization
Zhang, J.; Vaidya, T.; Brennessel, W. W.; Frontier, A. J.; Eisenberg R. Organometallics, 2010, 29, 3341-3349.
Zhang, J.; Vaidya, T.; Brennessel, W. W.; Frontier, A. J.; Eisenberg R. Organometallics, 2010, 29, 3341-3349.
Synthesis, Characterization, and Catalytic Properties of New Electrophilic Iridium(III) Complexes Containing the (R)-(+)-2,2′-Bis(diphenylphosphino)-1,1′-binaphthyl Ligand
Atesin, A. C.; Zhang, J.; Vaidya, T.; Brennessel, W. W.; Frontier, A. J.; Eisenberg, R. Inorg. Chem., 2010, 49, 4331- 4342.
Atesin, A. C.; Zhang, J.; Vaidya, T.; Brennessel, W. W.; Frontier, A. J.; Eisenberg, R. Inorg. Chem., 2010, 49, 4331- 4342.
A Highly Reactive Dicationic Iridium (III) Catalyst for the Polarized Nazarov Cyclization Reaction
Vaidya, T.; Atesin, A. C.; Herrick, I. R.; Frontier, A. J.; Eisenberg, R. Angew. Chem., Int. Ed., 2010, 49, 3363-3366.
Vaidya, T.; Atesin, A. C.; Herrick, I. R.; Frontier, A. J.; Eisenberg, R. Angew. Chem., Int. Ed., 2010, 49, 3363-3366.
β-Iodoallenolates as Springboards for Annulation Reactions
Ciesielski, J.; Canterbury, D. P.; Frontier, A. J. Org. Lett., 2009, 11, 4374-4377.
Ciesielski, J.; Canterbury, D. P.; Frontier, A. J. Org. Lett., 2009, 11, 4374-4377.
Nazarov Cyclization Initiated by Peracid Oxidation: The Total Synthesis of (±)-Rocaglamide
Malona, J. A.; Cariou, K.; Frontier, A. J. J. Am. Chem. Soc., 2009, 131, 7560–7561.
Malona, J. A.; Cariou, K.; Frontier, A. J. J. Am. Chem. Soc., 2009, 131, 7560–7561.
Formal Synthesis of Roseophilin
Bitar, A. Y., Frontier, A. J. Org. Lett., 2009, 11, 49-52.
Bitar, A. Y., Frontier, A. J. Org. Lett., 2009, 11, 49-52.
A Torquoselective Extrusion of Isoxazoline N-Oxides. Application to the synthesis of Aryl Vinyl and Divinyl Ketones for Nazarov Cyclization
Canterbury, D. P.; Um, J.; Houk, K. N.; Frontier, A. J. Tetrahedron, 2009, 65, 3165-3179. Invited article for Tetrahedron Symposium-In-Print; honoring [award winner] Justin DuBois.
Canterbury, D. P.; Um, J.; Houk, K. N.; Frontier, A. J. Tetrahedron, 2009, 65, 3165-3179. Invited article for Tetrahedron Symposium-In-Print; honoring [award winner] Justin DuBois.
Origins of Stereoselectivity in the Oxido-Alkylidenation of Alkynes
Canterbury, D. P.; Frontier, A. J.; Um, J., Cheong, P.; Goldfeld, D.; Huhn, R.; Houk, K. N. Org. Lett.2008, 10, 4597-4600.
Canterbury, D. P.; Frontier, A. J.; Um, J., Cheong, P.; Goldfeld, D.; Huhn, R.; Houk, K. N. Org. Lett.2008, 10, 4597-4600.
Polarizing the Nazarov Cyclization: The Impact of Dienone Substitution Pattern on Reactivity and Selectivity
He, W.; Meracz, I. R.; Atesin, T. A.; Caruana, P. A.; Kellenberger, C. A.; Frontier, A. J. J. Am. Chem. Soc. 2008, 130, 1003-1011.
He, W.; Meracz, I. R.; Atesin, T. A.; Caruana, P. A.; Kellenberger, C. A.; Frontier, A. J. J. Am. Chem. Soc. 2008, 130, 1003-1011.
Total Synthesis of (+)-Merrilactone A
He, W.; Huang, J.; Sun, X.; Frontier, A. J. J. Am. Chem. Soc.,2008, 130, 300-308.
He, W.; Huang, J.; Sun, X.; Frontier, A. J. J. Am. Chem. Soc.,2008, 130, 300-308.
Stereoselective Synthesis of Pyrrolidine Derivatives via Reduction of Substituted Pyrroles
Jiang, C.; Frontier, A. J. Org. Lett., 2007, 9, 4939-4942.
Jiang, C.; Frontier, A. J. Org. Lett., 2007, 9, 4939-4942.
Palladium(II)- and Mercury(II)-Catalyzed Rearrangements of Propargyl Acetates
Caruana, P. A.; Frontier. A. J. Tetrahedron, 2007, 63, 10646-10656.
Caruana, P. A.; Frontier. A. J. Tetrahedron, 2007, 63, 10646-10656.
Development of a Nazarov Cyclization/ Wagner-Meerwein Rearrangement Sequence for the Stereoselective Synthesis of Spirocycles
Huang, J.; Frontier, A. J. J. Am. Chem. Soc., 2007, 129, 8060-8061.
Huang, J.; Frontier, A. J. J. Am. Chem. Soc., 2007, 129, 8060-8061.
Total Synthesis of (+)-Merrilactone A via Catalytic Nazarov Cyclization
He, W.; Huang, J.; Sun, X.; Frontier, A. J. J. Am. Chem. Soc., 2007, 129, 498-499.
He, W.; Huang, J.; Sun, X.; Frontier, A. J. J. Am. Chem. Soc., 2007, 129, 498-499.
A General Method for the Catalytic Nazarov Cyclization of Heteroaromatic Compounds
Malona, J. A.; Colbourne, J. M.; Frontier, A. J. Org. Lett., 2006, 8, 5661-5664.
Malona, J. A.; Colbourne, J. M.; Frontier, A. J. Org. Lett., 2006, 8, 5661-5664.
Tandem Nazarov Cyclization-Michael Addition Sequence Catalyzed by an Ir(III) Complex
Janka, M..; He, W.; Haedicke, I. E.; Fronczek, F. R.; Frontier, A. J.; Eisenberg, R. J. Am. Chem. Soc., 2006, 128, 5312-5313.
Janka, M..; He, W.; Haedicke, I. E.; Fronczek, F. R.; Frontier, A. J.; Eisenberg, R. J. Am. Chem. Soc., 2006, 128, 5312-5313.
The Nazarov Cyclization in Organic Synthesis. Recent Advances
Frontier, A. J.; Collison, C. Tetrahedron2005, 61, 7577-7606. Invited Tetrahedron Report (review). This review was one of the top 25 most downloaded papers in Tetrahedron in 2006, and one of the top 50 between 2004-2007.
Frontier, A. J.; Collison, C. Tetrahedron2005, 61, 7577-7606. Invited Tetrahedron Report (review). This review was one of the top 25 most downloaded papers in Tetrahedron in 2006, and one of the top 50 between 2004-2007.
Preorganization in the Nazarov Cyclization: The Role of Adjacent Coordination Sites in the Highly Lewis Acidic Catalyst [IrMe(CO)(dppe)(DIB)](BAr4f)2
Janka, M.; He, W.; Frontier, A. J.; Flaschenriem, C.; Eisenberg, R. Tetrahedron2005, 61, 6193-6206. Invited paper for Tetrahedron Symposium-In-Print; Catalysis in Industry and Academia.

Janka, M.; He, W.; Frontier, A. J.; Flaschenriem, C.; Eisenberg, R. Tetrahedron2005, 61, 6193-6206. Invited paper for Tetrahedron Symposium-In-Print; Catalysis in Industry and Academia.
Dearomatization of Furans via [2,3] - Still Wittig RearrangementCaruana, P. A.; Frontier. A. J. Tetrahedron, 2004, 60, 10921-10926.
Efficient Catalysis of Nazarov Cyclization Using a Cationic Iridium Complex Possessing Adjacent Labile Coordination Sites
Janka, M.; He, W.; Frontier, A. J.; Eisenberg, R. J. Am. Chem. Soc., 2004, 126, 6864-6865.
Janka, M.; He, W.; Frontier, A. J.; Eisenberg, R. J. Am. Chem. Soc., 2004, 126, 6864-6865.
Polarizing the Nazarov Cyclization: Efficient Catalysis under Mild Conditions
He, W.; Sun, X.; Frontier, A. J. J. Am. Chem. Soc., 2003, 125, 14278-14279; addition/ correctionJ. Am. Chem. Soc., 2004, 126, 10493-10493.
He, W.; Sun, X.; Frontier, A. J. J. Am. Chem. Soc., 2003, 125, 14278-14279; addition/ correctionJ. Am. Chem. Soc., 2004, 126, 10493-10493.
